Discussion 5: Trees, Data Abstraction, Sequences
Data Abstraction
Data abstraction is a powerful concept in computer science that allows programmers to treat code as objects. For example, using code to represent cars, chairs, people, and so on. That way, programmers don't have to worry about how code is implemented; they just have to know what it does.
Data abstraction mimics how we think about the world. If you want to drive a car, you don't need to know how the engine was built or what kind of material the tires are made of to do so. You just have to know how to use the car for driving itself, such as how to turn the wheel or press the gas pedal.
A data abstraction consists of two types of functions:
- Constructors: functions that build the abstract data type.
- Selectors: functions that retrieve information from the data type.
Programmers design data abstractions to abstract away how information is stored and calculated such that the end user does not need to know how constructors and selectors are implemented. The nature of abstraction allows whoever uses them to assume that the functions have been written correctly and work as described.
Trees
One example of data abstraction is with trees.
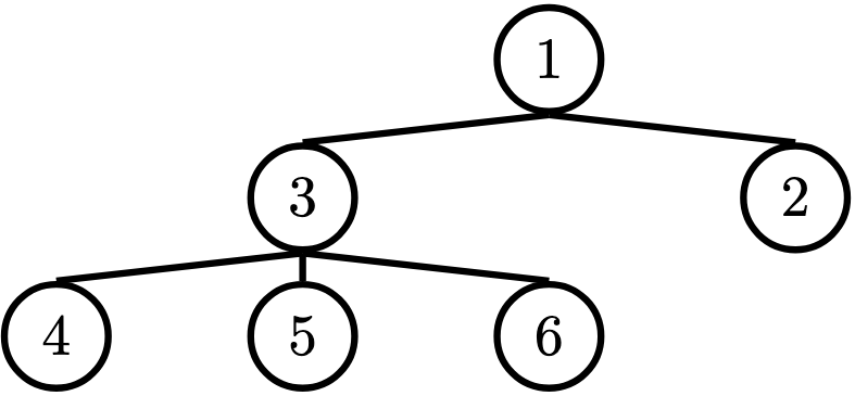
In computer science, trees are recursive data structures that are widely used in various settings and can be implemented in many ways. The diagram below is an example of a tree.

Generally in computer science, you may see trees drawn "upside-down" like so. We say the root is the node where the tree begins to branch out at the top, and the leaves are the nodes where the tree ends at the bottom.
Some terminology regarding trees:
- Parent Node: A node that has at least one branch.
- Child Node: A node that has a parent. A child node can only have one parent.
- Root: The top node of the tree.
In our example, this is the
1node. - Label: The value at a node. In our example, every node's label is an integer.
- Leaf: A node that has no branches.
In our example, the
4,5,6,2nodes are leaves. - Branch: A subtree of the root. Trees have branches, which are trees themselves: this is why trees are recursive data structures.
- Depth: How far away a node is from the root.
We define this as the number of edges between the root to the node.
As there are no edges between the root and itself, the root has depth 0.
In our example, the
3node has depth 1 and the4node has depth 2. - Height: The depth of the lowest (furthest from the root) leaf.
In our example, the
4,5, and6nodes are all the lowest leaves with depth 2. Thus, the entire tree has height 2.
In computer science, there are many different types of trees, used for different purposes. Some vary in the number of branches each node has; others vary in the structure of the tree.
Tree Data Abstraction
A tree has a root value and a list of branches, where each branch is itself a tree.
The data abstraction specifies that calling branches on a tree t
will give us a list of branches.
Treating the return value of branches(t) as a list is then part of how
we define trees.
How the entire tree t is implemented is under the abstraction barrier.
Rather than assuming an implementation of label and branches,
we will want to use those selector functions directly.
For example, we could choose to implement the tree data abstraction
with a dictionary with separate entries for the label and the branches,
or as a list with the first element being label and the rest being branches.
- The
treeconstructor takes in a valuelabelfor the root, and an optional list of branchesbranches. Ifbranchesisn't given, the constructor uses the empty list[]as the default. - The
labelselector returns the value of the root, while thebranchesselector returns the list of branches of the tree.
With this in mind, we can create the tree from earlier using our constructor:
t = tree(1,
[tree(3,
[tree(4),
tree(5),
tree(6)]),
tree(2)])
Questions
Q1: Tree Abstraction Barrier
Consider a tree t constructed by calling
tree(1, [tree(2), tree(4)]). For each of the following expressions,
answer these two questions:
- What does the expression evaluate to?
- Does the expression violate any abstraction barriers? If so, write an equivalent expression that does not violate abstraction barriers.
label(t)t[0]label(branches(t)[0])is_leaf(t[1:][1])[label(b) for b in branches(t)]Challenge:
branches(tree(5, [t, tree(3)]))[0][0]
Q2: Height
Write a function that returns the height of a tree. Recall that the height of a tree is the length of the longest path from the root to a leaf.
Run in 61A CodeQ3: Maximum Path Sum
Write a function that takes in a tree and returns the maximum sum of the values along any path in the tree. Recall that a path is from the tree's root to any leaf.
Run in 61A CodeQ4: Find Path
Write a function that takes in a tree and a value x and returns a list containing the nodes along the path required to get from the root of
the tree to a node containing x.
If x is not present in the tree, return None. Assume that the entries of the tree are unique.
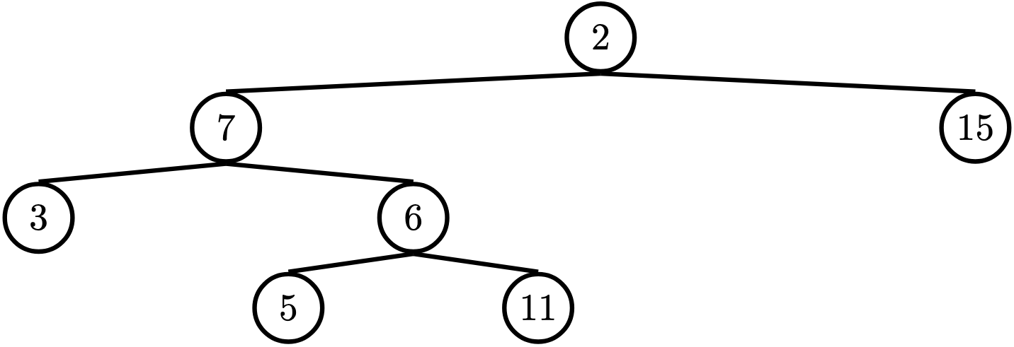
For the following tree, find_path(t, 5) should return [2, 7, 6, 5]

Sequences
Sequences are ordered collections of values that support element-selection and have length. We've worked with lists, but other Python types are also sequences, including strings.
Q5: Map, Filter, Reduce
Many languages provide map, filter, reduce functions for sequences.
Python also provides these functions
(and we'll formally introduce them later on in the course),
but to help you better understand how they work,
you'll be implementing these functions in the following problems.
In Python, the
mapandfilterbuilt-ins have slightly different behavior than themy_mapandmy_filterfunctions we are defining here.
my_map takes in a one argument function fn and a sequence seq and returns a
list containing fn applied to each element in seq.
my_filter takes in a predicate function pred and a sequence seq and returns a
list containing all elements in seq for which pred returns True.
my_reduce takes in a two argument function combiner and a non-empty sequence
seq and combines the elements in seq into one value using combiner.
Q6: Count palindromes
Write a function that counts the number of palindromes
(any word that reads the same forwards as it does when read backwards)
in a list of words
using only lambda, string operations, conditional expressions,
and the functions we defined above (my_filter, my_map, my_reduce).
Specifically, do not use recursion or any kind of loop.
Hint: The easiest way to get the reversed version of a string s is
to use the Python slicing notation trick s[::-1]. Also, the function
lower, when called on strings, converts all of the characters in the
string to lowercase. For instance, if the variable s contains the
string "PyThoN", the expression s.lower() evaluates to "python".
Additional Practice
Q7: Perfectly Balanced
Part A:
Implement sum_tree, which returns the sum of all the labels in tree t.
Part B:
Implement balanced, which returns whether every branch of t has the
same total sum and that the branches themselves are also balanced.
Challenge: Solve both of these parts with just 1 line of code each.
Run in 61A CodeQ8: Hailstone Tree
We can represent the hailstone sequence as a tree in the figure below,
showing the route different numbers take to reach 1. Remember that a hailstone
sequence starts with a number n, continuing to n/2 if n is even or 3n+1
if n is odd, ending with 1. Write a function hailstone_tree(n, h)
which generates a tree of height h, containing hailstone numbers that
will reach n.
Run in 61A CodeHint: A node of a hailstone tree will always have at least one, and at most two branches (which are also hailstone trees). Under what conditions do you add the second branch?